Añadiendo complejidad a los personajes
Tras discutir el origen de las cosmovisiones dualistas, veremos en esta entrada ideas para superar la dicotomía bueno/malo al construir los personajes de nuestras historias.
Obviamente, los personajes deben diferenciarse. Cuando hable en una entrada futura del esquema mítico del viaje del héroe y de los arquetipos, veremos que el protagonista debe tener siempre su antagonista, pero esta contraposición debe dar más juego que el de servir como instrumento moralizante o catártico para que 'el bien' triunfe sobre 'el mal'.
L@s mal@s y l@s buen@s
En las historias clásicas abundan los ejemplos de 'maniqueísmo' (ver entrada anterior), es decir, de una división sin muchos matices entre los héroes o heroínas buenos, por un lado, y los malos malísimos por otro lado. Por ejemplo, en el cine se ha recurrido siempre a pistas visuales para eliminar cualquier duda sobre este contraste.
Además de la previsible "cara de mal@" de l@s villan@s, hay otras pistas igualmente evidentes y que llegan a convertirse en estereotipos. Por ejemplo, en los westerns clásicos los sombreros y trajes negros se reservaban para identificar a los malvados. Recordemos que el Zoroastrismo ya había identificado el negro con el mal. Esta identificación persiste hasta nuestros días en personajes como Darth Vader (Darth suena como Dark = oscuro, por no hablar del tono sombrío de su traje y su casco).
Por su parte, los vaqueros buenos vestían con colores y sombreros claros, además de carecer de otras características 'malas' como el bigotillo y la sonrisa demoníaca a lo Jack Palance.
Esta identificación era tan obvia para todos que el maestro de la ciencia-ficción Robert A. Heinlein se inventó en su juguetona obra maestra El Número de la Bestia unos misteriosos villanos interdimensionales (un trasunto de él mismo y su mujer, los verdaderos "amos de títeres" de la historia), a los que denominó simplemente "los sombreros negros".
De las pistas maniqueas no se libran las mujeres, ni mucho menos. El cine en blanco y negro consagró el contraste entre la rubia buena y la morena mala (aunque a veces se invertían los papeles), y el color dejó espacio para que las pelirrojas y los diferentes tonos de castaño. Quizás como compensación, la mala resultaba ser casi siempre mucho más fascinante.
Hoy en día se explotan otros dualismos igualmente simplistas, como la chica morena lista (pero impopular) contra la popular rubia tonta.
Invasiones del otro lado
Una forma en la que se intenta romper la barrera dualista entre el bien y el mal es suponer que dentro del personaje 'bueno' hay un 'lado oscuro' oculto (reprimido, podríamos decir), pero que, por alguna circunstancia desafortunada, aflora e incluso toma el control temporal del lado bueno.
Este 'truco' dramático puede dar resultados interesantes si está bien llevado (como en la historia original del Dr. Jekyll y Mr. Hyde, el origen de este esquema), pero en el fondo lo único que hace es reforzar una visión dualista de la personalidad como si: a) hubiera una parte mala y otra buena fácilmente distinguibles, y b) la parte mala se pudiera aislar y dominar.
Así que actualmente solo es recomendable utilizarla cuando se dispone de elementos para crear una verdadera tensión entre los dos lados (como en el caso de Gollum en "El Señor de los Anillos").
Antidualismo zen
Una manera más radical de romper con el dualismo bueno-malo es seguir la filosofía zen (y la filosofía oriental en general), uno de cuyos pilares es romper con la tiranía del lenguaje y su lógica binaria ("A o no A"). En realidad, el zen rechaza el mismo concepto de antidualismo, por ser también dualista :-)
Hablaremos en otra ocasión de la filosofía (o antifilosofía) zen. Baste con decir ahora que frente al modelo Ying-Yang de fuerzas duales en la naturaleza, el zen propone como símbolo un mero círculo. No hay partes, no hay divisiones, no hay categorías, ni siquiera hay individuos.
En lugar del Ying-Yang tenemos elementos decorativos que invitan a la anti-reflexión, a vaciar la mente de conceptos, etiquetas y categorías.
El problema es que sin categorías difícilmente podemos desarrollar historias que no sean meras paradojas contra el lenguaje y el uso de la razón (como los koan zen).
Una novela o una película zen sería, desde este punto de vista, un mero ejercicio contemplativo, en el que intentaríamos evitar cualquier juicio o explicación. Y tras intentar ver algunas películas de Terrence Malick, yo personalmente no me siento muy dispuesto a seguir esta vía radical.
Tonos de blanco y negro
Volviendo al símbolo original del Ying-Yang, vemos que aunque parte de categorías duales, como masculino-femenino, lógico-intuitivo, etc., apunta de forma gráfica la idea de que dentro de cada opción hay también una parte de su opuesto (dentro de la parte blanca hay un círculo negro y viceversa).
Si nos quedamos aquí, volveríamos al concepto del 'lado oscuro' reprimido. Pero podemos imaginar que no hay una distinción tan clara entre los lados 'bueno' y 'malo', sino que se entremezclan, y cada parte buena o mala tiene en su interior otras partes buenas o malas. Esta idea se puede representar fácilmente con un dibujo fractal (que ya os habréis dado cuenta a estas alturas que es uno de mis conceptos favoritos):
Incluso podemos utilizar un esquema fractal donde el blanco y el negro puro se mezclan en tonos de gris. Por tanto, aquí la complejidad no viene dada solamente por el hecho de que un personaje tenga lados buenos o malos, sino que todo su ser es en realidad una mezcla de aspectos, historias, traumas, intenciones, deseos, que juegan entre opuestos y los mezclan. No existe un deseo puramente bueno, o un recuerdo puramente malo.
Por cierto, el título de la famosa novela "50 Sombras de Grey" significa literalmente "50 tonos de gris", y supuestamente hace referencia a los "complicados matices" del personaje de Grey (=gris). No he leído la novela, así que no puedo decir si el título le hace justicia, pero me temo que los tonos del personaje no llegan a 50.
¿Cómo sería la figura Ying-Yang que describiría a un personaje más real, más interesante? Quizás más parecido a la siguiente figura, en la que se superponen y entremezclan partes 'buenas' y 'malas' de una forma complicada, sin darnos una respuesta obvia o un patrón previsible.

No puedo terminar esta parte sobre la mezcla de opuestos sin mostrar otro grabado de M.C.Escher, titulado "Día y Noche", y que funciona también como una especie de Ying-Yang que hace compatible el uso de categorías duales con el de opciones intermedias entre los opuestos.
Más allá del bien y del mal: otras dimensiones
¿Sería posible elevarse sobre la dualidad entre el bien y el mal, sin rechazar su utilidad práctica, pero apelando a otras dimensiones de la moralidad o del carácter de los personajes?
Esto hubiera sido impensable, en términos generales, hasta la llegada del Romanticismo y de Friedrich Nietzsche (el filósofo que escribió "Más allá del Bien y del Mal"). Anteriormente, toda historia se basaba en una premisa moral expresada en términos de buenos y malos. Pero en el siglo XIX se introducen otras dimensiones que pueden definir la moralidad y el carácter.
Esto hubiera sido impensable, en términos generales, hasta la llegada del Romanticismo y de Friedrich Nietzsche (el filósofo que escribió "Más allá del Bien y del Mal"). Anteriormente, toda historia se basaba en una premisa moral expresada en términos de buenos y malos. Pero en el siglo XIX se introducen otras dimensiones que pueden definir la moralidad y el carácter.
Para el Romanticismo, las dimensiones estéticas (belleza, tragedia) y políticas (nacionalismo, libertad) pueden sobrepasar y sustituir a la moralidad tradicional.
En particular Nietzsche hará énfasis en la voluntad de poder, y la dicotomía esclavo-superhombre:
En definitiva, el hombre que guía su vida según la voluntad de poder (el Übermensch, superhombre), es un hombre que intenta siempre superarse a sí mismo, mejorarse en todas sus facetas, etc. No tiene en cuenta lo que los demás piensen o digan de él, se enfrenta a la vida y asume la realidad, procura vivir de una manera tal que si tuviera que vivir de nuevo infinidad de veces esa misma vida, sería feliz al hacerlo. Es un hombre libre que repudia el vicio, la debilidad y la esclavitud.
Podemos comprobar que la literatura y el cine de las últimas décadas incluye multitud de estos 'antihéroes' situados más allá de la moralidad tradicional y guiados solamente por sus propios valores (aunque en el caso de Hollywood es obligatorio que tengan algún aspecto tradicionalmente bueno). Sin embargo, en realidad estamos sustituyendo una dualidad (bueno-malo) por otra (poderoso-esclavo), lo cual no sirve necesariamente para superar la simplicidad de los personajes.
Tridimensionalidad de los personajes: una disgresión por el caos
Todos podemos entender intuitivamente que tres dimensiones (o un triángulo de personajes) puede dar lugar a situaciones más ricas que cuando interaccionan solo dos elementos. Existe una base físico-matemática para esta idea. En efecto, se ha demostrado que en un sistema donde solamente hay dos variables independientes, se llega a una situación estática, o bien de equilibrio periódico (como la órbita de un planeta alrededor de una estrella).
Por otro lado, cuando tenemos tres variables realmente independientes que interactúan de forma no lineal (no existe una simple proporcionalidad entre ellas), lo que se obtiene es algo muy diferente. Es un sistema en el cual se producen pautas, pero cuya complejidad es tal que no puede predecirse a medio plazo, ni calcularse una solución analítica. Es lo que se conoce como Caos o Sistema Dinámico.
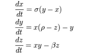
Un ejemplo sencillo, que originó la moderna Teoría del Caos, son las ecuaciones que investigaba un matemático llamado Lorenz para modelar el tiempo atmosférico (las tres variables independientes son x, y y z):
Cuando Lorenz trató de simular estas ecuaciones con un ordenador bastante primitivo, se dio cuenta de que el comportamiento era muy extraño: parecía alternar entre dos órbitas, pero nunca se repetía igual, y de tanto en tanto el sistema pasaba inesperadamente de una órbita a otra. Es lo que hoy conocemos como el Atractor de Lorenz.
La lección que podemos extraer de esta teoría es que si queremos generar complejidad en los personajes debemos combinar varias dimensiones, de las cuales las más típicas son las dimensiones 'morales' (sea la de bueno-malo o la de poder-esclavo), pero puede haber otras (estéticas, ideológicas, socioeconómicas). Por ejemplo: chica rica-fea-mala contra chico pobre-guapo-bueno (dentro de cada dimensión podemos tener complejidad añadida por las combinaciones fractales y los niveles de gris que hemos mencionado).
Así, además de la dualidad protagonista-antagonista, podemos añadir otros personajes contrapuestos por diferentes dimensiones, pero que también comparten otras características (por ejemplo, el chico pobre-guapo-bueno puede tener un amigo pobre-feo-no-tan-bueno).
Arquetipos: un catálogo básico de personalidades
Las combinaciones de dimensiones clásicas dan lugar a diferentes arquetipos o tipologías de personajes que pueden ser útiles como punto de partida para construir una historia, siempre que no se traten de manera demasiado simplista, ya que al ser arquetipos los espectadores o lectores ya están acostumbrados a ellos y pueden resultar demasiado previsibles.
Por ejemplo, en la siguiente gráfica se combina la dimensión social-individual (social-ego) con otra dimensión libertad-orden (freedom-order) para crear un catálogo de arquetipos básicos: el/la fuera de la ley, explorador(a), creador(a), mago-a, sabio-a, gobernante, etc.
Cuantas más dimensiones consideremos, más complejo se vuelve el catálogo y más ricos pueden ser los personajes. Para haceros una idea de lo que se puede conseguir, mirad el siguiente diagrama de arquetipos femeninos (pulsad para abrir la imagen superpuesta, y luego con el botón derecho "abrir la imagen en otra pestaña" para ampliar):
Concluyendo este repaso por la dimensionalidad moral y su aplicación a la complejidad de los personajes, diré que (como en otras cosas) lo importante es encontrar un equilibrio, combinando aspectos reconocibles para la audiencia con otros que resulten novedosos o chocantes, y también buscando un punto medio entre la simplicidad y la complejidad, pues el tiempo y el espacio disponible para dar vida y hacer justicia a los personajes es limitado.
Y esto es todo. Hasta la próxima perorata,
Salvador




























